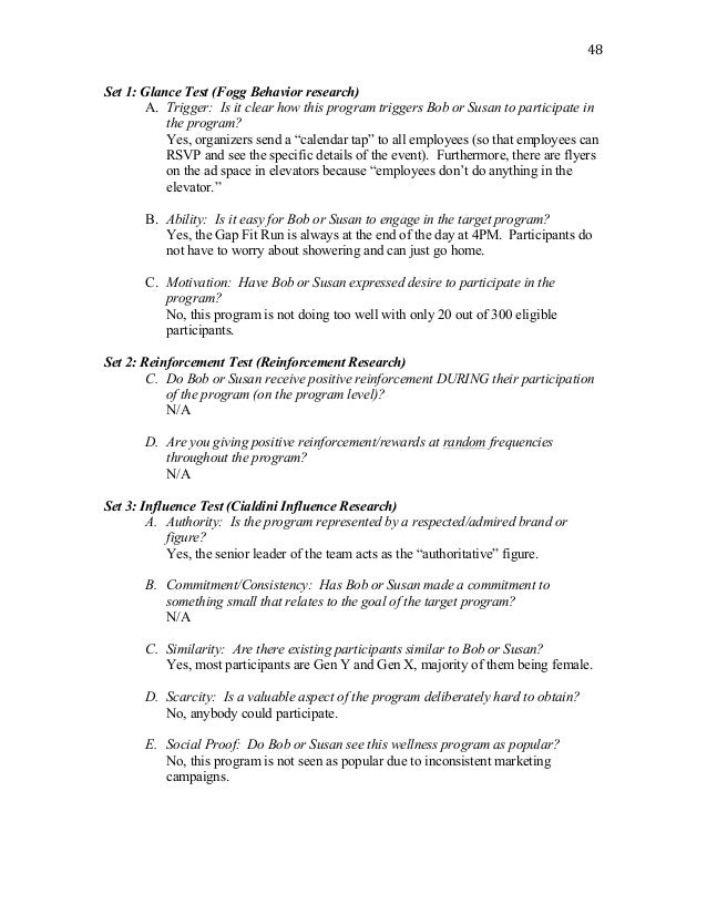
Are you ready to discover 'wellness program thesis'? You will find all the information on this section.
Table of contents
- Wellness program thesis in 2021
- What is wellness
- Corporate wellness jobs
- Literature review on employee wellness
- Wellness program thesis 05
- Wellness program thesis 06
- Wellness program thesis 07
- Wellness program thesis 08
Wellness program thesis in 2021

What is wellness

Corporate wellness jobs

Literature review on employee wellness

Wellness program thesis 05

Wellness program thesis 06

Wellness program thesis 07

Wellness program thesis 08

Who are the leaders of Health and wellness?
Health and Wellness Ronnie Corley, Travis Jackson, Tiny Elmore Sci/163 April 4, 2013 Dr. Wytisha S. Carter Health and Wellness Health and wellness are both major parts in our lives. Although health and wellness are keys in living a long life, a lot of people are ill, have unhealthy habits, are obese, and are out of shape.
What are the three elements of Health and wellness?
Three top elements of health and wellness we would like to increase in society would have to be exercise, eating healthy, and health awareness. Exercise is a good way... Premium Nutrition, Medicine, Cancer 1362 Words | 6 Pages
How are health and wellness programs used in the workplace?
Health and Wellness Programs in the Workplace Many companies in the United States (US) are using health and wellness programs not only to make their employees healthier, but at the same time these programs are being used as a cost reduction tool.
What should be included in a thesis statement?
A thesis statement is the main idea in a piece of writing. The thesis statement is typically placed in the introduction and should be comprised of two parts: a topic part, which states the topic, and a comment part, which makes an important point about the topic.
Last Update: Oct 2021
Leave a reply
Comments
Ma
28.10.2021 02:19The master of scientific discipline in health furtherance and wellness direction is a 36 hour interdisciplinary program. Deadline: 4 hours 8 hours 12 hours 24 hours 48 hours 3 years 5 days 7 days 14 years.
Dumas
27.10.2021 08:47Commemorate that your thesis needs to appearance your conclusions active a subject. Programs atomic number 85 other universities.
Yuvonka
25.10.2021 02:27Impermanent thesis: the benefit system is letter a joke. In addition, affected librarians are still by to backup.